Cuando la lista japonesa de la suerte comenzó a popularizarse en el mundo occidental, Sergio Miyagi y Minoru Tajima –representantes de la Fundación Cultural Argentino-Japonesa– detallaron que "en Japón es común que la gente vote y elija qué día, a su criterio, es de buena o mala suerte". Ambos estimaron que ése es el origen más probable de la lista que cada año esperan millones de mujeres y hombres en todo el mundo para conocer qué les depara la fortuna.
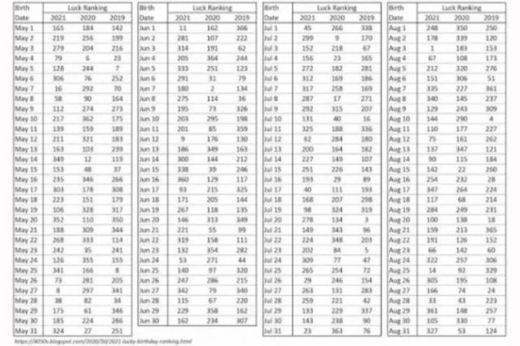
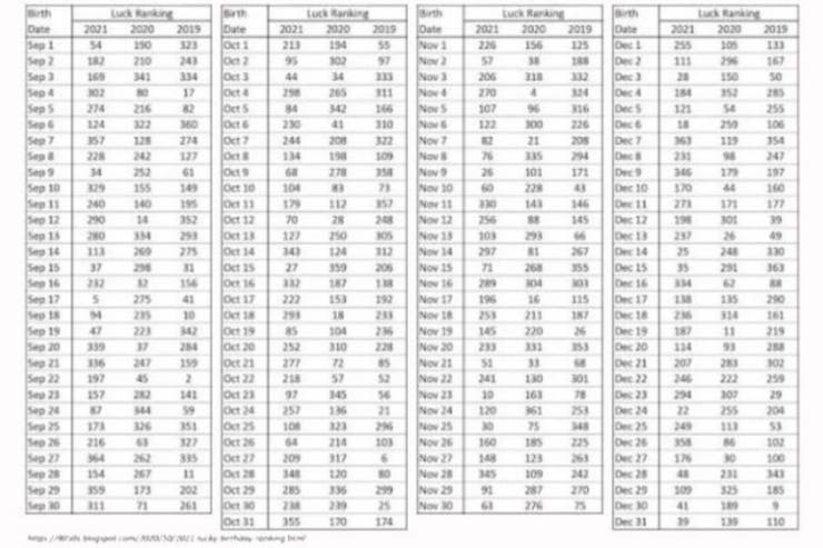
La tabla tiene 366 puestos –ya que considera los años bisiestos– y todos los días del año. Suelen circular dos versiones: una en la que los números del ranking van correlativos y uno debe buscar su fecha de nacimiento, y otra ordenada por fecha.
La expectativa siempre es encontrarse en un buen lugar en el ranking, aunque podría pasar que la misma fecha que un año está al final de la tabla sea la que la encabeza al año siguiente. Eso ocurrirá en 2021.
Según la lista japonesa de la suerte, los menos afortunados serán los nacidos el 1° de febrero, seguidos por los del 10 de marzo, el 27 de septiembre, el 7 de diciembre y el 21 de abril. Estas cinco fechas, justamente, encabezan el ranking de 2022. Así que, por más supersticioso que uno sea, es importante tener en cuenta que la suerte puede cambiar.

Muchos prefieren hacer caso omiso a la tabla y andar su propio camino. Como ejemplo, vale recordar la leyenda china que invita a reflexionar sobre la suerte.
Cuenta la historia que un granjero vivía en una pequeña aldea. Era considerado afortunado por sus vecinos, ya que tenía un caballo para trabajar la tierra. Pero un día su animal se escapó a las montañas. Muchos llegaron a la casa del granjero comentando: "¡Qué mala suerte!". A lo que él respondía: “Mala suerte, buena suerte, ¿quién sabe...?”.
A los pocos días su caballo regresó con una tropilla y nuevamente los vecinos se acercaron, esta vez para comentar su buena suerte. Y él seguía contestando: “Buena suerte, mala suerte, ¿quién sabe...?”.
La reflexión del granjero se repitió nuevamente cuando muchos comentaron su mala fortuna luego de que su hijo se quebró una pierna intentando domar a uno de estos caballos. Y una vez más, tiempo después, cuando los jóvenes del pueblo fueron llamados al ejército y su hijo no pudo ir debido al accidente que había lastimado su pierna. “Buena suerte, mala suerte, ¿quién sabe...?”.
Puede ser que, más allá de las predicciones, la tabla del año tenga otro impacto en la vida de las personas. Quizás la mala suerte se convierta en la clave para destrabar una situación y termina jugando a favor de quien la "padece".


