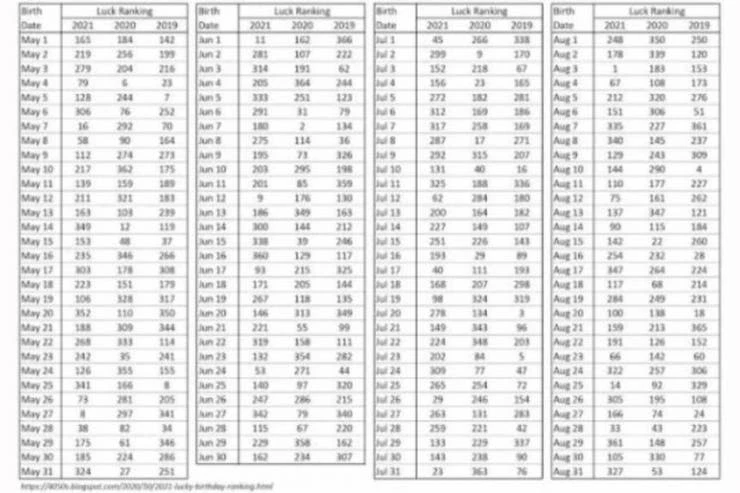
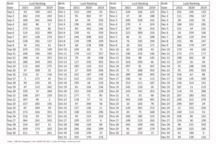
Cada año la "tabla japonesa de la suerte", adelanta cómo será la fortuna para las personas de acuerdo al día en el que cumplan año. Puede ser cierto o no, pero hay muchos que creen -o al menos desean tener fé- en esos vaticinios y por eso no es extraño que la lista se haya viralizado como nunca antes.
La mejor de las suertes recaerá, según estas predicciones en quienes hayan nacido el 3 de agosto. Las otras fechas afortunadas son: 5 de marzo, 23 de febrero, 3 de abril y 17 de septiembre.
En el extremo opuesto, lo de peor fortuna serán los nacidos el primero de febrero. De atrás para adelante, en el ránking siguen las siguientes fechas: 10 de marzo, 27 de septiembre, 7 de diciembre y 21 de abril.



Pero atención, no todo está perdido para quienes están al final de la lista. Las mismas predicciones arriesgan que su suerte podría darse vuelta en 2022.
Si alguien no logra contenerse de buscar su cumpleaños en la lista, tal vez estos días de balance sirvan para pensar cuánto está dispuesto cada uno a confiar en el azar y cuánto espera hacer para que el destino juegue a favor. En cualquier cosa, lo mejor siempre será disfrutar el recorrido.